递归的实战演练(进阶)
初级题
接下来我们来看下一道经典的题目: 反转二叉树 将左边的二叉树反转成右边的二叉树。
接下来让我们看看用我们之前总结的递归解法四步曲如何解题。
1.定义一个函数,这个函数代表了翻转以 root 为根节点的二叉树
publicstaticclass TreeNode {
int val;
TreeNode left;
TreeNode right;
TreeNode(int x) { val = x; }
}
public TreeNode invertTree(TreeNode root) {
}
2.查找问题与子问题的关系,得出递推公式 我们之前说了,解题要采用自上而下的思考方式,那我们取前面的1, 2,3 结点来看,对于根节点 1 来说,假设 2, 3 结点下的节点都已经翻转,那么只要翻转 2, 3 节点即满足需求

对于2, 3 结点来说,也是翻转其左右节点即可,依此类推,对每一个根节点,依次翻转其左右节点,所以我们可知问题与子问题的关系是 翻转(根节点) = 翻转(根节点的左节点) + 翻转(根节点的右节点) 即
invert(root) = invert(root->left) + invert(root->right)
而显然递归的终止条件是当结点为叶子结点时终止(因为叶子节点没有左右结点)
3.将第二步的递推公式用代码表示出来补充到步骤 1 定义的函数中
public TreeNode invertTree(TreeNode root) {
// 叶子结果不能翻转
if (root == null) {
returnnull;
}
// 翻转左节点下的左右节点
TreeNode left = invertTree(root.left);
// 翻转右节点下的左右节点
TreeNode right = invertTree(root.right);
// 左右节点下的二叉树翻转好后,翻转根节点的左右节点
root.right = left;
root.left = right;
return root;
}
4.时间复杂度分析 由于我们会对每一个节点都去做翻转,所以时间复杂度是 O(n),那么空间复杂度呢,这道题的空间复杂度非常有意思,我们一起来看下,由于每次调用 invertTree 函数都相当于一次压栈操作, 那最多压了几次栈呢, 仔细看上面函数的下一段代码
TreeNode left = invertTree(root.left);
从根节点出发不断对左结果调用翻转函数, 直到叶子节点,每调用一次都会压栈,左节点调用完后,出栈,再对右节点压栈....,下图可知栈的大小为3, 即树的高度,如果是完全二叉树 ,则树的高度为logn, 即空间复杂度为O(logn)
最坏情况,如果此二叉树是如图所示(只有左节点,没有右节点),则树的高度即结点的个数 n,此时空间复杂度为 O(n),总的来看,空间复杂度为O(n)
说句题外话,这道题当初曾引起轰动,因为 Mac 下著名包管理工具 homebrew 的作者 Max Howell 当初解不开这道题,结果被 Google 拒了,也就是说如果你解出了这道题,就超越了这位世界大神,想想是不是很激动。
中级题
接下来我们看一下大学时学过的汉诺塔问题: 如下图所示,从左到右有A、B、C三根柱子,其中A柱子上面有从小叠到大的n个圆盘,现要求将A柱子上的圆盘移到C柱子上去,期间只有一个原则:一次只能移到一个盘子且大盘子不能在小盘子上面,求移动的步骤和移动的次数
接下来套用我们的递归四步法看下这题怎么解
1.定义问题的递归函数,明确函数的功能,我们定义这个函数的功能为:把 A 上面的 n 个圆盘经由 B 移到 C
// 将 n 个圆盘从 a 经由 b 移动到 c 上
public void hanoid(int n, char a, char b, char c) {
}
2.查找问题与子问题的关系 首先我们看如果 A 柱子上只有两块圆盘该怎么移

前面我们多次提到,分析问题与子问题的关系要采用自上而下的分析方式,要将 n 个圆盘经由 B 移到 C 柱上去,可以按以下三步来分析:
将上面的 n-1 个圆盘看成是一个圆盘,这样分析思路就与上面提到的只有两块圆盘的思路一致了;
将上面的 n-1 个圆盘经由 C 移到 B ,此时将 A 底下的那块最大的圆盘移到 C ;
再将 B 上的 n-1 个圆盘经由A移到 C上
有人问第一步的 n - 1 怎么从 C 移到 B,重复上面的过程,只要把 上面的 n-2个盘子经由 A 移到 B, 再把A最下面的盘子移到 C,最后再把上面的 n - 2 的盘子经由A 移到 B 下..., 怎么样,是不是找到规律了,不过在找问题的过程中 切忌把子问题层层展开,到汉诺塔这个问题上切忌再分析 n-3,n-4 怎么移,这样会把你绕晕,只要找到一层问题与子问题的关系得出可以用递归表示即可。
由以上分析可得
move(n from A to C) = move(n-1 from A to B) + move(A to C) + move(n-1 from B to C`)
一定要先得出递归公式,哪怕是伪代码也好!这样第三步推导函数编写就容易很多,终止条件我们很容易看出,当 A 上面的圆盘没有了就不移了
3.根据以上的递归伪代码补充函数的功能
// 将 n 个圆盘从 a 经由 b 移动到 c 上
public void hanoid(int n, char a, char b, char c) {
if (n <= 0) {
return;
}
// 将上面的 n-1 个圆盘经由 C 移到 B
hanoid(n-1, a, c, b);
// 此时将 A 底下的那块最大的圆盘移到 C
move(a, c);
// 再将 B 上的 n-1 个圆盘经由A移到 C上
hanoid(n-1, b, a, c);
}
public void move(char a, char b) {
printf("%c->%c\n", a, b);
}
从函数的功能上看其实比较容易理解,整个函数定义的功能就是把 A 上的 n 个圆盘 经由 B 移到 C,由于定义好了这个函数的功能,那么接下来的把 n-1 个圆盘 经由 C 移到 B 就可以很自然的调用这个函数,所以明确函数的功能非常重要,按着函数的功能来解释,递归问题其实很好解析,切忌在每一个子问题上层层展开死抠,这样这就陷入了递归的陷阱,计算机都会栈溢出,何况人脑
4.时间复杂度分析 从第三步补充好的函数中我们可以推断出
f(n) = f(n-1) + 1 + f(n-1) = 2f(n-1) + 1 = 2(2f(n-2) + 1) + 1 = 2 * 2 * f(n-2) + 2 + 1 = 22 * f(n-3) + 2 + 1 = 22 * f(n-3) + 2 + 1 = 22 * (2f(n-4) + 1) = 23 * f(n-4) + 22 + 1 = .... // 不断地展开 = 2n-1 + 2n-2 + ....+ 1
显然时间复杂度为 O(2^n),很明显指数级别的时间复杂度是不能接受的,汉诺塔非递归的解法比较复杂,大家可以去网上搜一下
进阶题
现实中大厂中的很多递归题都不会用上面这些相对比较容易理解的题,更加地是对递归问题进行相应地变形, 来看下面这道题
细胞分裂 有一个细胞 每一个小时分裂一次,一次分裂一个子细胞,第三个小时后会死亡。那么n个小时候有多少细胞?
照样我们用前面的递归四步曲来解
1.定义问题的递归函数,明确函数的功能 我们定义以下函数为 n 个小时后的细胞数
public int allCells(int n) {
}
2.接下来寻找问题与子问题间的关系(即递推公式) 首先我们看一下一个细胞出生到死亡后经历的所有细胞分裂过程

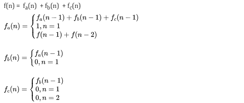
图中的 A 代表细胞的初始态, B代表幼年态(细胞分裂一次), C 代表成熟态(细胞分裂两次),C 再经历一小时后细胞死亡 以 f(n) 代表第 n 小时的细胞分解数 fa(n) 代表第 n 小时处于初始态的细胞数, fb(n) 代表第 n 小时处于幼年态的细胞数 fc(n) 代表第 n 小时处于成熟态的细胞数 则显然 f(n) = fa(n) + fb(n) + fc(n) 那么 fa(n) 等于多少呢,以n = 4 (即一个细胞经历完整的生命周期)为例
仔细看上面的图
可以看出 fa(n) = fa(n-1) + fb(n-1) + fc(n-1), 当 n = 1 时,显然 fa(1) = 1
fb(n) 呢,看下图可知 fb(n) = fa(n-1)。当 n = 1 时 fb(n) = 0
fc(n) 呢,看下图可知 fc(n) = fb(n-1)。当 n = 1,2 时 fc(n) = 0
综上, 我们得出的递归公式如下
3.根据以上递归公式我们补充一下函数的功能
public int allCells(int n) {
return aCell(n) + bCell(n) + cCell(n);
}
/**
* 第 n 小时 a 状态的细胞数
*/
public int aCell(int n) {
if(n==1){
return1;
}else{
return aCell(n-1)+bCell(n-1)+cCell(n-1);
}
}
/**
* 第 n 小时 b 状态的细胞数
*/
public int bCell(int n) {
if(n==1){
return0;
}else{
return aCell(n-1);
}
}
/**
* 第 n 小时 c 状态的细胞数
*/
public int cCell(int n) {
if(n==1 || n==2){
return0;
}else{
return bCell(n-1);
}
}
只要思路对了,将递推公式转成代码就简单多了,另一方面也告诉我们,可能一时的递归关系我们看不出来,此时可以借助于画图来观察规律
4.求时间复杂度 由第二步的递推公式我们知道 f(n) = 2aCell(n-1) + 2aCell(n-2) + aCell(n-3)
之前青蛙跳台阶时间复杂度是指数级别的,而这个方程式显然比之前的递推公式(f(n) = f(n-1) + f(n-2)) 更复杂的,所以显然也是指数级别的
总结
大部分递归题其实还是有迹可寻的, 按照之前总结的解递归的四个步骤可以比较顺利的解开递归题,一些比较复杂的递归题我们需要勤动手,画画图,观察规律,这样能帮助我们快速发现规律,得出递归公式,一旦知道了递归公式,将其转成递归代码就容易多了,很多大厂的递归考题并不能简单地看出递归规律,往往会在递归的基础上多加一些变形,不过万遍不离其宗,我们多采用自顶向下的分析思维,多练习,相信递归不是什么难事。
来源 | 五分钟学算法
作者 | 码海