一文学会递归解题
递归的实战演练(入门级)
热身赛
输入一个正整数n,输出n!的值。其中n!=123…n,即求阶乘
套用上一节我们说的递归四步解题套路来看看怎么解:
1.定义这个函数,明确这个函数的功能,我们知道这个函数的功能是求 n 的阶乘, 之后求 n-1, n-2 的阶乘就可以调用此函数了
/**
* 求 n 的阶乘
*/
public int factorial(int n) {
}
2.寻找问题与子问题的关系 阶乘的关系比较简单, 我们以 f(n) 来表示 n 的阶乘, 显然 f(n) = n * f(n - 1), 同时临界条件是 f(1) = 1,即
3. 将第二步的递推公式用代码表示出来补充到步骤 1 定义的函数中
/**
* 求 n 的阶乘
*/
public int factorial(int n) {
// 第二步的临界条件
if (n < =1) {
return1;
}
// 第二步的递推公式
return n * factorial(n-1)
}
4.求时间复杂度 由于 f(n) = n f(n-1) = n (n-1) .... f(1),总共作了 n 次乘法,所以时间复杂度为 n。
看起来是不是有这么点眉目, 当然这道题确实太过简单,很容易套路,那我们再来看进阶一点的题。
入门题
一只青蛙可以一次跳 1 级台阶或一次跳 2 级台阶,例如:
跳上第 1 级台阶只有一种跳法:直接跳 1 级即可。跳上第 2 级台阶
有两种跳法:每次跳 1 级,跳两次;或者一次跳 2 级。
问要跳上第 n 级台阶有多少种跳法?
我们继续来按四步曲来看怎么套路。
1.定义一个函数,这个函数代表了跳上 n 级台阶的跳法
/**
* 跳 n 极台阶的跳法
*/
public int f(int n) {
}
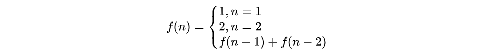
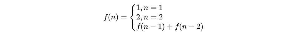
2.寻找问题与子问题之前的关系 这两者之前的关系初看确实看不出什么头绪,但仔细看题目,一只青蛙只能跳一步或两步台阶,自上而下地思考,也就是说如果要跳到 n 级台阶只能从 从 n-1 或 n-2 级跳, 所以问题就转化为跳上 n-1 和 n-2 级台阶的跳法了,如果 f(n) 代表跳到 n 级台阶的跳法,那么从以上分析可得 f(n) = f(n-1) + f(n-2),显然这就是我们要找的问题与子问题的关系,而显然当 n = 1, n = 2, 即跳一二级台阶是问题的最终解,于是递推公式系为

3.将第二步的递推公式用代码表示出来补充到步骤 1 定义的函数中 补充后的函数如下
/**
* 跳 n 极台阶的跳法
*/
public int f(int n) {
if (n == 1) return1;
if (n == 2) return2;
return f(n-1) + f(n-2)
}
4.计算时间复杂度 由以上的分析可知 f(n) 满足以下公式

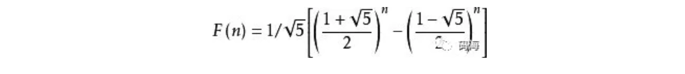
斐波那契的时间复杂度计算涉及到高等代数的知识, 这里不做详细推导,有兴趣的同学可以点击这里查看,我们直接结出结论。
由些可知时间复杂度是指数级别,显然不可接受,那回过头来看为啥时间复杂度这么高呢,假设我们要计算 f(6),根据以上推导的递归公式,展示如下
可以看到有大量的重复计算, f(3) 计算了 3 次, 随着 n 的增大,f(n) 的时间复杂度自然呈指数上升了
5.优化
既然有这么多的重复计算,我们可以想到把这些中间计算过的结果保存起来,如果之后的计算中碰到同样需要计算的中间态,直接在这个保存的结果里查询即可,这就是典型的 以空间换时间,改造后的代码如下
public int f(int n) {
if (n == 1) return1;
if (n == 2) return2;
// map 即保存中间态的键值对, key 为 n,value 即 f(n)
if (map.get(n)) {
return map.get(n)
}
return f(n-1) + f(n-2)
}
那么改造后的时间复杂度是多少呢,由于对每一个计算过的 f(n) 我们都保存了中间态 ,不存在重复计算的问题,所以时间复杂度是 O(n), 但由于我们用了一个键值对来保存中间的计算结果,所以空间复杂度是 O(n)。问题到这里其实已经算解决了,但身为有追求的程序员,我们还是要问一句,空间复杂度能否继续优化?
6.使用循环迭代来改造算法 我们在分析问题与子问题关系(f(n) = f(n-1) + f(n-2))的时候用的是自顶向下的分析方式,但其实我们在解 f(n) 的时候可以用自下而上的方式来解决,通过观察我们可以发现以下规律
f(1) = 1
f(2) = 2
f(3) = f(1) + f(2) = 3
f(4) = f(3) + f(2) = 5
....
f(n) = f(n-1) + f(n-2)
最底层 f(1), f(2) 的值是确定的,之后的 f(3), f(4) ,...等问题都可以根据前两项求解出来,一直到 f(n)。所以我们的代码可以改造成以下方式
public int f(int n) {
if (n == 1) return1;
if (n == 2) return2;
int result = 0;
int pre = 1;
int next = 2;
for (int i = 3; i < n + 1; i ++) {
result = pre + next;
pre = next;
next = result;
}
return result;
}
改造后的时间复杂度是 O(n), 而由于我们在计算过程中只定义了两个变量(pre,next),所以空间复杂度是O(1)
简单总结一下:分析问题我们需要采用自上而下的思维,而解决问题有时候采用自下而上的方式能让算法性能得到极大提升,思路比结论重要。
递归的实战演练(进阶级)
来源 | 五分钟学算法
作者 | 码海